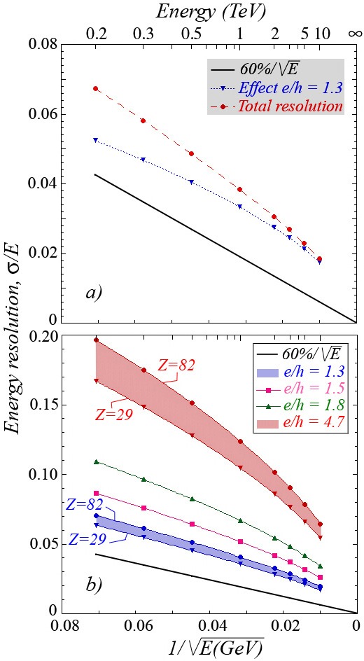
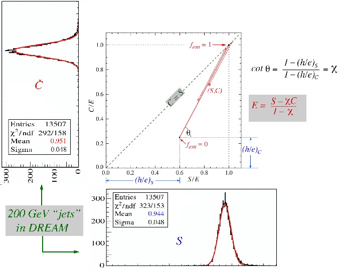
Dual-Readout Calorimetry