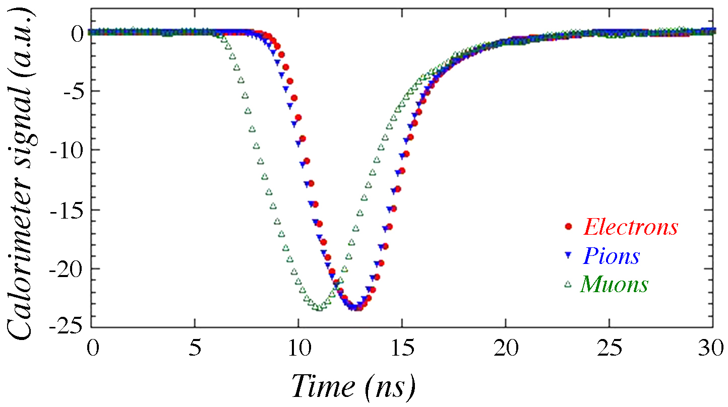
New results from the RD52 project