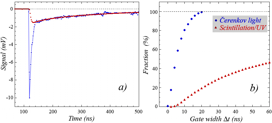
Separation of crystal signals into scintillation and Cherenkov components